The Decline of the Family as a Source of Social Capital in the EU: Some Indicators
Recibido: 2009-06-10
Aceptado: 2009-10-30
Alfredo Rodríguez-Sedano1, Juan Carlos Aguilera2, Ana Costa-Paris3
1 Doctor of Philosophy and Ph.D. in Business Administration. Researcher, Department of Education, Universidad de Navarra, Pamplona, Spain. arsedano@unav.es
2 Doctor of Philosophy. Researcher, Faculty of Education, Universidad de los Andes, Santiago de Chile, Chile. jcaguilera@uandes.cl
3 Doctor of Education. Researcher, Department of Education, Universidad de Navarra, Pamplona, Spain. acosta@unav.es
Abstract
This article shows how social policy in the European Union (EU) fails to give proper attention to the family as a factor in social development and cohesion. It begins with a conceptual overview of the family as social capital, followed by an assessment of social capital as a source of gaining the fundamental values for moral and civic education. It goes on to show how, despite population growth in the EU, there are a number of signs that point to a depletion of social capital. By way of illustration, several basic indicators are provided to demonstrate that social and family policies are inconsistent with what constitutes social capital. The line of thinking developed in the article establishes that social capital in the EU is being depleted mainly because the family is being increasingly overlooked as an element of social cohesion and development.
Key words: social capital, social development, social policy, family education, European Union (Source: Unesco Thesaurus).
El declive de la familia como capital social en la Unión Europea: algunos indicadores
Resumen
En este artículo se muestra cómo en la política social de la Unión Europea (UE) no se presta la atención debida a la familia como factor de desarrollo y cohesión social.
Se comienza con una reflexión conceptual sobre la familia como capital social. A continuación se aborda el estudio del capital social como fuente de adquisición de valores fundamentales para la educación moral y cívica. Después se muestra cómo, a pesar del crecimiento poblacional que ha ido experimentando la UE, se observan una serie de síntomas de agotamiento del capital social. Para vislumbrar ese agotamiento nos serviremos de algunos indicadores básicos, que manifiestan que las políticas sociales y familiares no van en la línea adecuada de lo que constituye el capital social.
La reflexión desarrollada permite constatar que el declive del capital social en la UE obedece fundamentalmente al progresivo desconocimiento de la familia como elemento de cohesión y desarrollo social.
Palabras clave: capital social, desarrollo social, política social, educación familiar, Unión Europea (fuente: Tesauro de la Unesco).
O declínio da família como capital social na União Europeia: alguns indicadores
Resumo
Este artigo ilustra como a política social na União Europeia (UE) não dá a devida atenção à família como fator de desenvolvimento e coesão social.
Começa com uma reflexão conceitual sobre a família como capital social. Em seguida, se examina o estudo do capital social como uma fonte de aquisição de valores básicos na educação moral e cívica. Depois ele mostra como, apesar do crescimento da população que tem experimentado a UE, há uma série de sintomas de esgotamento do capital social. Para ter idéia desse esgotamento, vamos utilizar alguns indicadores básicos que mostram que as políticas sociais e familiares não correspondem ao que deve ser o capital social.
A reflexão desenvolvida revela que o declínio do capital social na EU é devido principalmente ao desconhecimento progressivo da família como elemento de coesão e desenvolvimento social.
Palavras-chave: capital social, desenvolvimento social, política social, educação familiar, União Europeia (fonte: Tesouro da Unesco).
Introduction
The history of the EU dates back to the 1950s when the name “European Communities” was used in the treaty establishing the European Coal and Steel Community (ECSC), which was signed in Paris in 1951 and took effect on July 24, 1952 for a limited period of 50 years. At the onset, the group consisted of six countries: Belgium, Germany, France, Italy, Luxembourg and the Netherlands. The ECSC Treaty led to the Treaty of Rome, signed in 1957 by the founding countries, whereby they declared themselves to be a community aimed at integration through mutual exchanges with a view towards economic expansion. After the Treaty of Maastricht, the EEC became the European Community, a change that expressed the member states' aim to extend the community's functions beyond the economic sphere. Denmark, Ireland and the United Kingdom joined in 1973, followed by Greece in 1981 and Spain and Portugal in 1986. The reunification of Germany, in 1990, meant the incorporation of the East German federal states.
In 1992, the European Union Treaty (EUT) heralded a new era in European integration, as it blazed the trail for political integration. It establishes a European Union based on three principles: the European Communities, common foreign and security policy (PESC), and judicial and police cooperation on criminal matters (JAI). The EUT establishes European citizenship, reinforces the competences of the European Parliament, and prepares for economic and monetary union (UEM). Moreover, the name of the EEC was changed to the European Union (EU). In 1995, the EU was expanded to include Austria, Finland and Sweden.
In 2004, the Union witnessed the entry of the Czech Republic, Estonia, Cyprus, Latvia, Lithuania, Hungary, Malta, Poland, Slovenia and Slovakia. In January 2007, Bulgaria and Romania joined. Another two countries, Croatia and Turkey, are in the process of negotiating their possible entry.
Europe has always been home to many different peoples and cultures. In all the member states, part of the population consists of people from other countries, usually ones who have a close historical relationship with the host country. This ethnic and cultural diversity is considered to be one of the active principles of the EU. Another important principle is that of defending the values of tolerance, respect and mutual understanding, values that ensure the continuation of Europe as a unified project.
The European population has increased through a combination of natural growth and growth due to migration.
At present, most of the total population growth in the EU is due to migration. Without immigration, the populations of Germany, Greece and Italy would have fallen in 2003. Immigration contributes the young workforce that is so badly needed in the EU.
The European Union covers an area of almost four million square kilometres. On the world map, this is not a very large area, but it contains 27 countries. Their size varies greatly, from France (the largest) to Malta (the smallest).
The EU has a population of 457 million, which places it third on the world scale after China and India.
This paper begins with a discussion of the family as social capital. We approach the study of social capital as a source of acquisition of fundamental values for moral and civic education. We then examine the way in which, despite population growth in the EU, symptoms of exhaustion of social capital can be found, mainly because the family has been overlooked as a key element in social cohesion and development. To detect this exhaustion, we use the concept of social capital and the existence of basic indicators that show social and family policies are not consistent with promoting social capital. We, thus, are able to document the decline in the social capital of the family in the EU.
Social Capital
The origins of the concept of social capital can be found in Lyda Judson Hanifan's discussions on rural community schools (Hanifan, 1916, 1920). Here, the term social capital is used to describe “those intangible substances [that] count for most in the daily lives of people; that is, good will, comradeship, understanding and social relations between individuals and families, characteristics that make up social unity [...]. Thrown back on himself, the individual is a vulnerable being in social terms [...]. But if he comes into contact with his/her neighbours, social capital accumulates, and this can produce immediate satisfaction of his social needs and generate sufficient social possibilities to improve substantially the living conditions of the whole community” (1916, 130-138).
Social capital has a precise anthropological and sociological basis: the human being is a unique reality, one that develops in coexistence with others. In short, we develop in the context of social relations. A characteristic of every human being is sociability. As Aristotle pointed out, man (obviously, also woman) is by nature a “politikon zoon” (Politics, I, 1, 1253a); that is, a “political or social animal.” Humans live in society and society either fosters or hinders human development. So, sociability, or the capacity to associate and to participate in social life, is a genuine human characteristic.
Social capital is generated in proportion to the extent, intensity and system of values that govern interpersonal relations. Whereas physical capital refers to physical objects, human capital encompasses the relations between individuals and social networks, and the norms of reciprocity and integrity that emerge from them. Putnam (1993b, p. 167) defines social capital as “characteristics of social organization, such as trust, norms and networks, which can improve the efficacy of society by facilitating coordinated actions.” Putnam's work launched the concept of social capital as a key focus of economic, political and social debate.
There also are earlier contributions from different fields. Town-planning expert Jane Jacobs (1961) discusses social capital in her classic work.
The Death and Life of Great American Cities , in which she emphasizes the collective value of informal neighbourhood links in the modern metropolis. An alternative to the theory of social capital, proposed by Bourdieu (1986, 248), linking social capital to social theory, defines social capital as follows: “‘Social capital is the ‘the aggregate of the actual or potential resources which are linked to possession of a durable network of more or less institutionalized relationships of mutual acquaintance and recognition.'” On the other hand, Cohen and Prusak (2001) stress that social capital is the central point of organizational development and maintenance.
However, it was Coleman (1988, 1990, 1994, and 1997) who introduced the term “social capital” to sociology. “Social capital is defined by its function. It is not a single entity, but a variety of different entities, having two characteristics in common: they all consist of some aspect of a social structure, and they facilitate certain actions of individuals who are within the structure” (Coleman, 1994, p. 302). Initially, it is linked to the economic field, but its results are not strictly economic. The main interest lies in the debates on the social context of education.
A fairly general definition of the term regards social capital as a quality of social groups, generally whole societies, which is generated when individuals associate together with particular aims in mind, including cultural as well as socio-structural aspects such as rules of behaviour, security, proactive attitudes, social integration or trust (Borgatti, Jones and Everett, 1998). This definition emphasizes the group-collective dimension of social capital, and has been used in recent years as a key concept in research into economic and social or community development processes (Grootaert, 1998; Grootaert and van Bastelaer, 2001, 2002; Knack and Keefer, 1997; Torsvik, 1999, 2000; van Deth, Maraffi, Newton and Whiteley, 1999; Woolcock, 1998, 2000/2001; Woolcock and Narayan, 2000), and as a mechanism in the explanation of collective action and behaviour concerning association and social participation (Coleman, 1988; Ostrom and Ahn, 2001; Putnam, 1995, 1996, 2000; Wollebæk and Selle, 2000). In this sense, social capital has been shown to be an important factor in an analysis of the economic development of poverty-stricken societies, and in the course of political transition processes or the restoration of social cohesion after various kinds of conflict or social problems.
The premise underlying social capital is that interaction enables people to create communities, to form commitments and to weave social networks. This sense of belonging and the concrete experience of social networks can benefit both the people themselves and the activities that are carried out.
This interaction means that one of the main components of social capital is trust between individuals and social institutions. John Locke said many years ago that trust is vinculum societatis , “the bond of society” (1954/1663, 213). Many other scholars have expressed this in similar terms. Blau (1964, p. 99) points out that trust is “essential for stable relationships.” Trust is necessary for solving problems in an effective way and even for the survival of communities: “when trust is destroyed, societies falter and collapse,” affirms Bok (1979, p. 26).
Alongside trust, we find cooperation. Social capital is related to capacity for cooperation. In this sense, Francis Fukuyama understands social capital as “the ability of people to work together for common purposes in groups or organizations” (1995, p. 10). Trust is so important for cooperation in any organization or society that Zucker (1986, p. 56) does not hesitate to state that it is “vital for the maintenance of cooperation in society and necessary as grounds for even the most routine, everyday actions.”
Trust and cooperation require one another, given the need everyone has to belong and to be bonded to others. This, in turn, means that frequent interaction and concern for each others' welfare are necessary. It is essential for people to feel connected in affective terms to other people. This is not only a question of knowing people or maintaining social contacts, but also of needing deeper relationships such as those that exist within the family. “What makes the family different from a mere aggregate of human beings joined for reasons of subsistence is revealed by the fact that other goals are sought in that bonding. We become united so that each one can live—so that each has a good life or can live well . In fact, those goals those goals do not exclude each other. One refers to subsistence, the other to welfare, and the third includes higher goals, above all love. Love involves a spectrum of human phenomena, arising from intimacy, and ranges from pleasure in qualities that satisfy us to the gift of self and the acceptance of a person for what he or she is” (Bernal, 2008, 100).
The quest for relationships of belonging is the result of an evolutionary mechanism that guides human conduct towards joining groups and forming lasting relationships. This mechanism includes an orientation towards other members of the human race and means that we experience discomfort when we are deprived of such relationships. Moreover, it stimulates learning through the reinforcement offered by positive social contact (Baumeister and Leary, 1995).
One major aspect of what has been said up to now about social capital is precisely its relational nature, which is directly connected to the moral density of which Durkheim wrote, for which it is necessary to have both material density and volume. From this perspective, sociology stresses the necessity and usefulness of robust structures that make society strong. It is symptomatic that anomie, one of the pathologies mentioned by Durkheim, should be precisely the element that social capital prevents, through a large number of remedies suggested by the authors cited above, all of which revolve around a single point, which is that society is reinforced, if its structures are endowed with social capital
The Family as Social Capital
The family is clearly one of these structures that strengthen society. If it was enough until now to state that the family is the basic unit of society, to comprehend its unique depth and importance, we can now make a similar assertion, which is that the family is the place where social capital is formed (Crosnoe, 2004) and is the main source of social capital for young people, especially in relation to their education (Furstenberg & Hughes, 1993; Hetherington, 1998). In other words, “the social capital that is present in relations between parents and children should be associated with the internalization of social behaviour in the young” (Parcel & Menaghan, 1993, 120). If marriage is the main producer of social capital through the birth and the rearing of children, family relations are the secondary network that multiplies and secures human and physical capital, which a society needs to develop and progress.
Crosnoe (2004, 268) is more explicit about the way in which the family creates social capital. “As children move through the education system, parents can provide instrumental assistance, spread information about education and future opportunities, establish and reinforce the rules of expected behaviour, and offer support as children navigate new scenarios, by conveying their own experiences with both success and failure.”
Without learning to share and to become involved in collective tasks, it will be hard for us to shift our own interests towards the common interest, to replace concern for our own good with a desire for the common good, and to be capable of building bonds of reciprocal trust, constructing social capital and promoting a society ruled by the criteria of equity and dignity. The family offers an ideal space for practicing and consolidating this type of learning.
In fact, one fundamental element of social capital is the principle of general reciprocity. As Taylor shows (1982, 28-29), “in a system of reciprocity, each individual act is usually characterized by a combination of what we call altruism in the short term, and self-interest in the long term: I will help you in the hope (possibly vague, uncertain and not premeditated) that you will help me in the future. Reciprocity is made up of a series of acts, each of which is altruistic in the short term (benefiting others at the cost of the altruist), but which, as a whole, tend to improve the condition of all the interested parties.”
Thus, frequent interaction among people tends to bring about a generalized habit of reciprocity (Portes, 1998; Putnam, 1993a and 2002; Uzzi, 1997). These generalized customs of reciprocity resolve problems of collective action. The self-interest of individuals and the egotism of agents are thus transformed into an emergent sense of duty to others, which leads the members of a community to try to achieve shared objectives.
This, in turn, means a society characterized by generalized reciprocity is more efficient than a more mistrustful one (Putnam, 2002), since civic commitment and social capital presuppose mutual obligation and responsible action.
This category was introduced to research on the family by Coleman (1988, 1990). In his view, reference to the function of social capital in the socialization process provides the theoretical structure needed for analysis. As Coleman points out, the family background consists of physical, human and social capital. This last category is defined as relations between actors who “take part in family relations and in the organization of the community and who are useful for the cognitive or social development of a child or young person” (Coleman, 1990, 300). Coleman's contribution in this respect centres on the defence of the role of social capital as a resource in the socialization process. The key to social capital is, therefore, to ensure that it has an effect on the structure of relations between actors, at any level of community life. Obviously, considering the family as social capital is still a sociological point of view, since the family is a good instrument for society, particularly in the socialization process, which tends to generate an increase in human and physical capital.
We might expect this criterion to be used for analysis on the grounds of its close relationship to other issues that have been studied in great depth and are still being researched. As in social life as a whole, in the family, the analyses of physical capital has been brought into the perspective of human capital. The relationship between a family's income and property and the educational or cultural level of the parents is being increasingly recognized as important. Human capital is less tangible than physical capital, but there are some indicators that can be used to evaluate it. In the consideration of social capital, it is said that without it, physical and human capital may not yield all the benefits they should. The main social capital of the family, according to Coleman (1988), comes first from the relationship between parents and children, and then from the relationship with other adults who are close to the family. The physical presence of the parents is necessary. The absence of adults causes a structural defect within the family. These relations, present or absent, limited or abundant, are closely connected to children's success in school.
Regarding these relationships, “civil society also benefits from a stable civil order. Families are small societies, and the network of trust estab lished across generations and between spouses within the family is a key factor for society as a whole. The network of family members and the laws that create and sustain marriage are a key element in the ‘social capital,' which facilitates the creation of many kinds of civic associations and private groups. The virtues acquired within the family, such as generosity, sacrifice, trust, self-discipline, are crucial in all areas of social life. Children who grow up in broken homes often fail to acquire these basic habits of character. When broken marriages are frequent or there is an unstable situation regarding marriage in general, society is damaged by a series of social pathologies, including a rise in poverty, mental illness, delinquency, illegal use of drugs, clinical depression and suicide.” ( Marriage and the Public Good: Ten Principles . Princeton, New Jersey: The Witherspoon Institute, 2006, p. 12).
What can we do to create social capital? According to Coleman, three factors can have a positive impact on its creation: first, the degree of closeness in the relations between different kinds of actors in one organization; second, stability is a critical factor; and lastly, so is the sense of identity among members. Instead of hierarchical power, “relational power” is required; that is, the capacity to get people to do things collectively through relations of trust and cooperation. Thus, the family can be “a source of social capital by expansion: expanding family trust to relations that are not properly speaking family relations; or, in other words, it can create within society the environment needed for trust to grow and flourish, and the seeds of this trust are precisely those values that are transmitted within the family” (Llano, 2002, 179).
To what do we owe this interest in the family as social capital? Fukuyama (1997, 7-10) points out how the nuclear family declined in the 1960s, and this was accompanied by a range of social pathologies which were not so obvious when they first appeared. In fact, the deterioration that arose as a result of these pathologies was not so obvious, because modern societies have been successful, because they have managed to live off several centuries of accumulated social capital. The moral rules that were formerly provided by religion and other cultural institutions have survived into the secular age, thanks to a kind of reflex habit. The problem is that these societies are incapable of generating new social capital. Thus, the family is the primary source of social capital in advanced modern societies.
In Putnam's view, the “dense networks of social interaction,” such as the family, which encourages generalized reciprocity and civic or community commitment, increase mutual trust and promote solidarity through the acceptance of commitments and duties to others. Networks are important for social capital, because they generate rules or habits that favour cooperation and reciprocity. In addition to furthering the public good, they also have a close link to what we call civic virtues. As Putnam maintains (2000), “social capital is closely related to what some people have called ‘civic virtue'. The difference is that social capital includes the point that civic virtue is strongest when it is framed within a dense network of reciprocal social relations. A society made up of a large number of individuals who are virtuous but isolated is not necessarily rich in social capital” (p. 14). The family is precisely such a network.
The relationship between social capital and civic commitment is mediated in a very important way by the dense nature of social networks or associations. This social capital is boosted when there is an information flow and contact among the relevant members within the organization, which reinforces identity and recognition. In this respect, instead of trying to establish “vertical” networks based on asymmetrical hierarchical relations and dependence between schools and families, which lead to low levels of participation, “horizontal” networks group people together on an equal plane, where trust and cooperation for mutual benefit are more easily promoted.
For this reason, if democracy is to function, it is necessary to create a civic community that takes in both families and schools, and goes beyond mere representation in formal institutions. It would be better still if schools could be integrated into the community, which is their true ecological context. Social capital is a resource that can be amassed, as it grows in proportion to its use. Conversely, social capital devaluates if it is not renewed. A civic community with a heavy dose of social capital is characterized by: civic commitment, which materializes through people's participation in public affairs; relations of equality; that is, horizontal relations of reciprocity and cooperation, which are imbued with relational rather than hierarchical power; s olidarity, trust and tolerance among citizens, which make it possible to work for common goals and to provide mutual support; and civil associations, which contribute to the effectiveness and stability of democratic government.
The Decline of the Family as Social Capital in the EU
As we have seen, the forces of long-term relationships, dense networks, and many potential spheres of cooperation are strongest within families. However, there are social behaviours within the family that do not favour long-term relationships, as well as families that do not promote dense networks, and so forth. Among the factors that demonstrate the decline of the family as social capital, we can point to the population structure, the birth rate, divorce, and social protection. There are also other community-related factors where the decline of the family as social capital can be perceived. We want to focus on these factors that affect the family from within.
Population
In Europe, there are more elderly people than children. Whereas in 1980 there were 36 million more children than senior citizens, in 2004 there were more elderly people than under-14s, with a loss of 23 million young people in 25 years. This represents a 21% drop, or a 10% decline over the previous 10 years. The population under age 14 is now only 16.2% of the total population (80 million people in the 27 EU countries).
An increase of over 18 million elderly people in 25 years is a 29% rise. The 81.7 million people over age 65 account for one sixth of the total population. The number of people over age 80 has increased by 84% and now stands at 18.8 million (one in 25 members of the community). One in seven Italians (14.2%) is young. Spain (44% less), Portugal (40%) and Italy (37%) are the countries that lost the largest number of young people (under age 14) between 1980 and 2005. Italy (almost 20%), Germany and Greece are the countries with the largest population of senior citizens.
The population pyramid of the EU is turning into a population rhombus: (graphic 1).
Birth Rate (graphic 2)
In Europe, fewer children are born: in 2006 there were only 5.1 million births. The situation was stationary between 1995 and 2006, with an increase of 1.1% from 2005 to 2006. Europe is far from the generational replacement level set at 2.1 children per woman: in 2005, the average was 1.38 children per woman in the EU-27. France (1.94) and Ireland (1.88) are the two countries with the highest birth rate. Greece (with 1.28), Spain (1.34) and Italy (1.34) are countries with critical birth rates.
In 2007, there were just over 5.2 million births in the EU-27, almost a million (920,089) fewer than in 1982, which means a 15% decrease. From 1990 to 1995, the number of births fell sharply, by over 691,562 persons. This decline in human capital shows the social capital of the family is not as strong as it was in 1982, and this trend has been maintained over the years. The present small upturn is not significant with respect to the overall trend, which is overwhelmingly stationary.

In the EU, when the issue of the aging population is addressed, the cultural factor is ignored, even though this may well be the heart of the problem: people are afraid to have children, and have insufficient love for the family. There is no doubt that one of the reasons for the fall in the birth rate is the thorough transformation the family has undergone since the 1960s. These changes affect women, the length of marriage, the nature of the nuclei, and the relationship between generations. The new family nucleus is maintained by individual choices, equality of roles between men and women, and feelings as the basis for interpersonal relations, rather than commitment to and stability within the relationship. The result is families that are more fragile, more unstable, and lack sufficient autonomy to endure without favourable social policies. Without this support, the birth rate falls, there is an increase in the number of people living together without commitment to a stable union, and the decision to have children is delayed until people have enough resources to cope with these new situations.
This description is not entirely new when we compare the situation to earlier eras. Similar processes were at work: a fall in the birth rate, an aging population, decline and decadence. What is new in the current situation, compared to other historical periods, is the intensity and length of the fall in fertility. The way of approaching this situation is through social policies designed on a basis of solidarity. Solidarity gives the social sphere the permanent nature of such policies in the form of the aid every family needs, and which social life does not provide. Family policy promotes solidarity among different generations, emphasizing duration over and above historicity.
Divorce
As mentioned earlier, the absence of adults leads to a structural defect in families. Stability in interpersonal family relations is a decisive element in social capital. Thus, divorce is a pathology that must be addressed.
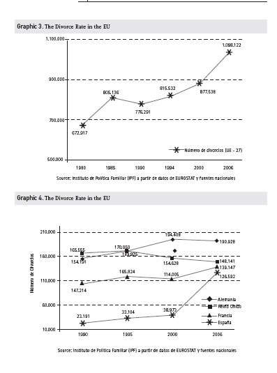
The data on this issue are significant. In the EU-27, a marriage breaks up every 30 seconds, and there are over one million divorces (graphic 3).
The number of marital breakdowns increased between 1980 and 2005 by 369,365. This is a 55% rise. Spain, with a 183% increase, is the country with the greatest rise in marital breakdowns between 1995 and 2005, followed by Portugal (89%) and Italy (62%). Twenty-one million children are affected by divorce. In the period 1990-2001, Spain had the highest percentage of divorces: 326%. The percentage was 226% in 2001-2006 (graphic 4).
Alongside these data, which are significant, it is no less worrying that the estimated mean length of marriage coincides precisely with a moment when children are psychologically quite sensitive. In this respect, the emotional normality that children require during puberty and adolescence is sacrificed in the quest for new matrimonial experiences. “The educational role of parents, above all, is to shape children's emotional life. This affective education is basic and, if it fails, we will lack the foundations on which we can build higher levels of education; namely, education of the intellect and will” (Polo, 2006, 94).
In fact, the marriages that break up last an average of 13 years (graphic 5).
We must not lose sight of the fact that “what we must educate first is the area of affection, the feelings. We do this mainly in childhood, up to the age of ten or eleven. In adolescence, there are often affective crises, and the parents have to cooperate so that children can resolve them” (Polo, 2006, 94).


Social Protection
Social protection systems are highly developed in the European Union and are designed to protect people against the risks associated with unemployment, parental responsibilities, ill health and disability, the loss of a spouse or parent, old age, housing and social exclusion. The model used in each member state is somewhat different and certain social protection benefits are provided by private social protection schemes, although they continue to be financed by governments (at least partially). Indeed, the organisation and financing of social protection systems is the responsibility of each individual member state, while the European Union provides legislation to cover those who move across borders from one member state to another, particularly in relation to statutory social security schemes (graphic 6).
Compared to the 28% of GDP the EU-27 devote to social costs, with major differences among member countries, the family receives only 2.1% of GDP, and this amount has been frozen for 10 years in the EU-15 (graphic 7).
This last indicator is important, since it points to a clear correlation between direct help for families and the number of children. In this respect, France, Ireland and Luxembourg give large amounts of aid to families in proportion to the number of children. However, Spain, Poland and Italy have low fertility rates and only minimal support for families (graphic 8).
Most of the EU-27 nations do not address the issue of family conflict, crisis and breakdown, even though the Council of Europe has insisted on this for many years, not the least in its recommendation of 2 September 1974, which states clearly that:

“This body recommends the member States to set up Family Guidance Centers to provide all-round attention for families. These should be appropriately financed by the State, even if they are the result of private initiative.”
On the other hand, in a recommendation dated 27 June 1980, the governments of member states are asked:
• To recognise the importance of the organisms that guarantee family guidance to achieve more balanced affective, individual and family life.
• To promote the development of such organisms by giving appropriate economic support.
• To study the possibility of using the media, particularly radio and television programmes, to strengthen family education and culture.
It is striking that the European Commission has no organism that is responsible for the development of such social policies designed to protect the family. In spite of the fact that the European Commission has five Vice-Presidents and 21 Commissioners, none of them is responsible for Family Policies. Matters that concern the family are handled by Commissioners for Work, Social Affairs and Equal Opportunities.
Nor does the EU have a Family Observatory. The National Observatory on Family Policies was created in 1989 and closed in 2004, when it was replaced by the Observatory on Demography and Social Situation. There is also no Green Paper on the Family. Of the 95 green papers published since 1984, none is on the issue of the family.
Conclusion
Much more work would be required to better understand the influence of the family in improving performance and generating social capital. It is extremely important to gain a deeper and better understanding of social capital. Putnam (1995) argued that clarifying aspects of social capital should be a high research priority. One of these aspects is undoubtedly to know better how the family contributes to the creation of social capital. This paper has tried to explore that topic.
The area where governments probably have the greatest direct ability to generate social capital is education. Educational institutions do not simply transmit human capital. They also pass on social capital in the form of social rules and norms. This is true not only in primary and secondary education, but in higher and professional education as well. However, we should not forget that the family is the place where social capital is first generated (Crosnoe, 2004) and the main source of social capital for young people, particularly during their education (Furstenberg & Hughes, 1993; Hetherington, 1998). In this context, it is evident that governments talk of social policies, but not family policies, thus tending to confuse social policy with family policy. Social protection gives priority to factors other than the family. But we must stress that the first source of social capital in developing countries is the family.
The forces of long-term relationships, dense networks, and many potential spheres of cooperation are strongest within families (Putnam, 1995, p. 73). Hence, we expect extended families frequently to provide important reserves of social capital. Where family members are also in the community, ties of social capital are particularly strong.
Before asking what measures should be taken to promote the development of the family as social capital, it might be more productive to start by asking what it is, and how it promotes personal freedom. The family, in itself, cannot be controlled by any social institution, as the Mayflower achievement shows.
References BAUMEISTER, RF. and LEARY, MR. (1995). “The Need to Belong: Desire for Interpersonal Attachments as a Fundamental Human Motivation.” Psychological Bulletin, 117, 497-529. BERNAL, A. (2008). “Educational Framework of Personal Relationships.” In Bernal, A., Altarejos F. and Rodriguez, A. Family as Primary Educator. A Sociological Study. New York: Scepter Publishers, Inc. BLAU, PM. (1964). Exchange and Power in Social Life. New York: Willey. BOK, S. (1979). Lying: Moral Choice in Public and Private Life. New York: Vintage Books. BORGATTI, SP., JONES, C. and EVERETT, MG. (1998). “Network Measures of Social Capital.” Connections, 21(2), 27-36. BOURDIEU, P. (1986). “The Forms of Capital.” In: Handbook of Theory and Research for the Sociology of Education, edited by J.G. Richardson, 241-258 . New York: Greenwood. COHEN, D. and PRUSAK, L. (2001). In Good Company. How Social Capital Makes Organizations Work. Boston, Massachusetts: Harvard Business School Press. COLEMAN, J. (1988). “Social Capital in the Creation of Human Capital.” American Journal of Sociology, 94 (supplement), S95-S120. COLEMAN, JS. (1990, 1994). Foundations of Social Theory. Cambridge: Harvard University Press. COLEMAN, JS. (1997). Family, School and Social Capital. In International Encyclopedia of the Sociology of Education, edited by L.J. Saha, 623-625. Oxford: Pergamon. CROSNOE, R. (2004). “Social Capital and the Interplay of Families and Schools.” Journal of Marriage and Family , 66, 267-280. FUKUYAMA, F. (1995). Trust: The Social Virtues and the Creation of Prosperity. New York: Free Press. FUKUYAMA, F. (1997). The End of Order . Centre Post-Collectivist Studies, London. FURSTENBERG, F. and HUGHES, ME. (1993). “Social Capital and Successful Development among At-risk Youth.” Journal of Marriage and the Family , 57, 580-592. GROOTAERT, C. (1998). Social Capital, Household Welfare and Poverty in Indonesia . Social Capital Initiative Working Paper No. 2148. Washington, DC: The World Bank. GROOTAERT, C. and VAN BASTELAER, T. (2001). “Understanding and Measuring Social Capital: A Synthesis of Findings and Recommendations from the Social Capital Initiative.” Inside IRIS, 2 (10), available, together with other works on social capital and development at: http://www.iris.umd.edu/adass/proj/soccap.asp (accessed January 20, 2002). GROOTAERT, C. and VAN BASTELAER, T. (Eds.) (2002). The Role of Social Capital in Development. Cambridge University Press. HANIFAN, L.J. (1916). “The Rural School Community Center.” Annals of the American Academy of Political and Social Science, 67, 130-138. HANIFAN, L J. (1920). The Community Center. Boston: Silver Burdett. HETHERINGTON, EM. (1998). “Social Capital and the Development of Youth from Nondivorced, Divorced and Remarried families.” In Relationships as Developmental Contexts, edited by W.A. Collins & B. Laursen, 177-209. Mahwah, NJ: Erlbaum. JACOBS, J. (1961). The Decline and Rise of American Cities. New York: Random House. KNACK, S. and KEEFER, P. (1997). “Does Social Capital Have an Economic Payoff?” Quarterly Journal of Economics, 112 (4), 1251-1288. LLANO, C. (2002). Falacias y ámbitos de la creatividad: el acto de creación en la empresa . México: Limusa. LOCKE, J. (1654/1663). Essays on the Laws of Nature . Edited by W. Von Leyden. Oxford: Clarendon Press. OSTROM, E. and AHN, TK. (2001). A Social Science Perspective on Social Capital: Social Capital and Collective Action. Paper presented at the European Research Conference on Social Capital: Interdisciplinary Perspectives. Exeter, United Kingdom, 15-20 September 2001. Available at http://www.ex.ac.uk/shipss/politics/research/socialcapital/papers/ostrom.pdf (accessed on 20 January 2002). PARCEL, TL. and MENAGHAN, EG. (1993). Family Social Capital and Children's Behavior Problems. Social Psychology Quarterly , 56 (2), 120-135. POLO, L. (2006). Ayudar a crecer. Cuestiones filosóficas de la educación . Pamplona: Eunsa. PORTES, A. (1998). “Social Capital: Its Origins and Applications in Modern Sociology.” Annual Review of Sociology, 24, 1-24. PUTNAM, R. (1993a). “The Prosperous Community.” American Prospect, 13, Spring, 35-42. PUTNAM, R. (1993b). Making Democracy Work: Civic Traditions in Modern Italy . Princeton: Princeton University Press. PUTNAM, R. (1995). “Bowling Alone: America's Declining Social Capital.” Journal of Democracy, 6 (1), 65-78. PUTNAM, R. (1996). “The Strange Disappearance of Civic America.” The American Prospect, 24, 34-48. PUTNAM, R. (2000). Bowling Alone: The Collapse and Revival of American Community. New York: Simon & Schuster (Spanish edition, Círculo de Lectores, 2002). TAYLOR, M. (1982). Community, Anarchy and Liberty. New York: Cambridge University Press. TORSVIK, G. (1999). Social Capital and Economic Development: Searching for Explanations. Bergen: University of Bergen. TORSVIK, G. (2000). Social Capital and Economic Development: A Plea for the Mechanisms. Rationality and Society, 12 (4), 451-476. van Deth, J. W., Maraffi, M., Newton, K. and Whiteley, P. (1999). Social Capital and European Democracy. London: Routledge. UZZI, B. (1997). “Social Structure and Competition in Interfirm Networks: The Paradox of Embeddedness.” Administrative Science Quarterly, 42, 35-67. WOLLEBÆK, D. and SELLE, P. (2000). “ Participation in Voluntary Associations and the Formation of Social Capital.” Paper presented at the ARNOVA Conference . New Orleans, 16-18 November 2000. WOOLCOCK, M. (1998). “ Social Capital and Economic Development: Toward a Theoretical Synthesis and Policy Framework.” Theory and Society, 27 (2), 151-208. WOOLCOCK, M. (2000/2001). Removing Social Barriers and Building Social Institutions. World Development Report 2000/2001. Washington, DC: The World Bank. Available at http://www.worldbank.org/poverty/wdrpoverty/report/ch7.pdf (accessed 20 January 2002). WOOLCOCK, M. and NARAYAN, D. (2000). “ Social Capital: Implications for Development Theory, Research, and Policy.” The World Bank Research Observer, 15 (2), 225-249. ZUCKER, LG. (1986). ‘Production of Trust: Institutional Sources of Economic Structure, 1840–1920.' In Research in Organizational Behavior, Vol. 8, edited by B. M. Straw and L. L. Cumming, 53-111. Greenwich, CT: JAI Press. |